首页
财务会计
医药卫生
金融经济
考公考编
外语考试
学历提升
职称考试
建筑工程
IT考试
其他
登录
建筑工程
下列各级数发散的是:
下列各级数发散的是:
admin
2020-12-24
15
问题
下列各级数发散的是:
选项
答案
A
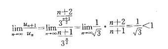
解析
提示:选项B为交错级数,由莱布尼兹判别法,判定收敛;选项C,由正项级数比值收敛法,判定收敛。
选项D为等比级数,公比 q =2/3选项A发散,用正项级数比较法判定。
转载请注明原文地址:https://ti.zuoweng.com/ti/trKCKKKQ
相关试题推荐
下列关于土的标准固结试验的说法,哪个选项是不正确的( )A.第一级压力的大小应视土的软硬程度而定B.压力等级宜按等差级数递增C.只需测定压缩系数
幂级数的收敛域为()。A、(-1,1)B、[-1,1]C、[-1,1)D、(-1,1]
幂级数内的和函数为()。
幂级数的收敛域为()。
展开成傅里叶级数时,该级数在x=0处的值为()。
幂级数的收敛域为()。A(-1,1)B[-1,1]C[-1,1)D(-1,1]
下列级数发散的是()。
下列级数收敛的是()。
幂级数的收敛域为()。
A.绝对收敛 B.条件收敛 C.等比级数收敛 D.发散A.绝对收敛B.条件收敛C.等比级数收敛D.发散
随机试题
属于附肢骨的是 A.颅骨 B.脊椎骨 C.胸骨 D.锁骨 E.肋骨
男性,30岁,咳嗽3个月,偶有咳痰带血,乏力、体重下降,无发热,查体双侧颈淋巴结
律师在推进全面依法治国进程中具有重要作用,律师应依法执业、诚信执业、规范执业。根
《测绘标准化工作管理办法》规定,测绘标准复审周期一般不超过()年。
属于二萜双酯型生物碱的是
法治的根本目标是保障权利,但假如法治本身得不到保障,法治也会被滥用, 变成非法
下列哪项不属于医务人员进行无菌操作的区域范围
共用题干 某工程项目的建设单位通过公开招标方式确定某施工单位为中标人,双方签订
用油液光谱分析法对设备磨损情况进行监测时,通常测取()。 A.机械信号B
我国政策性银行与商业银行相比,其独特之处表现为()。A.不考虑盈亏B.财政拨款.发行政策性金融债券是其主要的投资来源C.有特定的服务领域D.不能吸纳公众