首页
财务会计
医药卫生
金融经济
考公考编
外语考试
学历提升
职称考试
建筑工程
IT考试
其他
登录
财务会计
书海库
2019-12-17
7
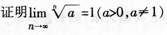
问题
选项
答案
解析
[img]/upload/tiku/438/5387088_1.png[/img][img]/upload/tiku/438/5387088_1_1.png[/img]
转载请注明原文地址:https://ti.zuoweng.com/ti/y67lKKKQ
相关试题推荐
麦冬主治
性平,可固精缩尿,明目止泻的药物是
刺五加的功效是
苎麻根除凉血止血外,又能
侧柏叶除凉血止血外,又能
槐花除凉血止血外,又能
荜茇的功效是
通草的功效是
善治痰热中风的药是
善治阴虚发热的药是
随机试题
肾肿瘤的血尿特点是
金银花的主治病证是
胆矾具有的功效是
建设工程项目质量控制系统运行的约束机制取决于()。 A.各质量责任主
从狭义上讲,风险仅指()。A.盈利发生的不确定性B.损失发生的不确定性C.是否发生的不确定性D.何时发生的不确定性
“金玉其外,败絮其中”出自哪位作家的作品( )A、刘基《卖柑者言》B、蒲松龄《聊斋志异》C、吴趼人《二十年目睹之怪现状》D、曾朴《孽海花》
某现浇钢筋混凝土楼盖,主梁跨度为9m,次梁跨度为4.8m,次梁轴线间距为4.5m,施工缝宜留置在( )的位置。A.距主梁轴线1m,且平行于主梁轴线B.距主梁
建设单位就专业分包工程存在的施工质量缺陷提起民事诉讼,根据《民事诉讼法》及相关司法解释,建设单位可以将()列为共同被告。A.招标代理机构B,总承包企业C.
我国安全生产方针中的“预防为主”,是指按照事故发生的规律和特点,千方百计地防止事故的发生。下列措施中,最能体现“预防为主”的是()。A.追究事故责任,加大事故处
某投资项目需3年建成,每年初投入资金80万元,共投入240万元。建成投产之时,需投入营运资金40万元,以满足日常经营活动需要。建成投产后生产出A产品,估计...