首页
财务会计
医药卫生
金融经济
考公考编
外语考试
学历提升
职称考试
建筑工程
IT考试
其他
登录
建筑工程
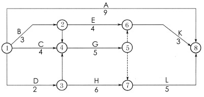
下图所示双代号网络计划的关键路线为( )。 A. ①-⑧ B. ①-②-⑥-⑧ C. ①-③-⑦-⑧ D. ①-④-⑤-⑦-⑧
下图所示双代号网络计划的关键路线为( )。 A. ①-⑧ B. ①-②-⑥-⑧ C. ①-③-⑦-⑧ D. ①-④-⑤-⑦-⑧
admin
2020-12-24
22
问题
下图所示双代号网络计划的关键路线为( )。
A. ①-⑧
B. ①-②-⑥-⑧
C. ①-③-⑦-⑧
D. ①-④-⑤-⑦-⑧
选项
答案
D
解析
本题主要考查对双代号网络计划中的关键线路的理解。 双代号网络计划中,总的工作持续时间最长的线路为关键线路。四个选项的持续时间分别为9、10、13、14天,故D项正确。 综上所述,本题正确答案为D。
转载请注明原文地址:https://ti.zuoweng.com/ti/cghaKKKQ
相关试题推荐
注浆施工在计划阶段的工作内容包括()。A、决定注浆量B、决定注浆方法C、决定注浆设备D、决定注浆材料及配合比E、选定注浆压力
装配式梁(板)施工方案编制前,应对施工现场条件和()进行充分调研和评估。A、周边道路B、拟定运输路线的社会交通C、周边建筑D、周边居民
最终形成的技术标包括:工程概况及编制说明;项目部组成及管理体系和各项保证措施和计划;施工部署、进度计划和施工方法选择;进度计划和各种资源需求计划;关...
背景材料 A公司承建城市道路改扩建工程,其中新建一座单跨简支桥梁,节点工期为90天,项目部编制了网络进度计划如图所示(单位:天)。 公司技术负责人...
根据《注册建造师施工管理签章文件目录》的规定,机电工程的施工进度管理文件包括()。2012A.总进度计划报批表B.分部工程进度计划报批表C.单位工程进度计
工程开工前,项目部编制“计量检测设备配备计划书”的依据是()。2011A.施工组织设计B.计量检测设备使用说明书C.作业指导书D.质量计划E.施工方案
【2016案例四】项目部应如何调整施工进度计划(表4)中施工内容的工作时间?为什么说该施工安排容易造成触电事故?
【2015年案例】背景资料:……A安装公司项目部进场后,编制了施工进度计划(见下表): 在施工中发生了以下3个事件:事件1:项目部将...
机电工程施工进度计划安排中的制约因素有( )。2018真题A、工程实体现状B、设备材料进场时机C、安装工艺规律D、施工作业人员配备E、施工监理方
施工方案编制内容的核心是()。2016A.施工进度计划B.施工方法C.安全技术措施D.质量管理措施
随机试题
按照法律主体在法律关系中的地位不同,可以将法律关系分为( )。 A.双边法律
拉斯韦尔1948年提出的经典传播模式(5W模式),包括()
根据公司法律制度的规定,下列属于股东共益权的有( )。
在岩体破碎、节理裂隙发育的砂岩岩体内修建的两车道公路隧道,拟采用复合式衬砌。岩石
战国时期的风谲云诡之中,士争雄、国争霸的社会场景在历史上留下的画卷之繁复、之错综、之精彩、之生动,的确是罕见的。而提及战国,自然要提及名噪一时的乱世枭雄-...
国际法的识别:指在适用冲突规范时,依照某一法律制度,对有关事实或问题进行分类和定性,将其归入一定法律范畴,并对有关冲突规范进行解释的过程。 下列不属于国...
在社区获得性肺炎的致病菌中约占40%的是A.肺炎克雷白杆菌B.流感嗜血杆菌C.肺炎军团菌D.葡萄球菌E.肺炎球菌
煤矿建设工程安全设施和条件未经验收或者验收不合格,擅自投入生产的,由煤矿安全监察机构责令停止生产,处()的罚款。拒不停止生产的,由煤矿安全监察机构移送地...
(2012年)某通信公司运用ARPU值(每户平均收入)的大小来进行市场细分,将客户分为髙端、中端和低端客户群,这种细分方式采用 的是()细分变量。A.人口B
单位会计核算的资产不仅要包括单位占有、使用的资产,还要包括受托管理的资产,以及负责经管责任的公共基础设施、政府储备物资等,这体现了政府会计信息质量要...