首页
财务会计
医药卫生
金融经济
考公考编
外语考试
学历提升
职称考试
建筑工程
IT考试
其他
登录
外语考试
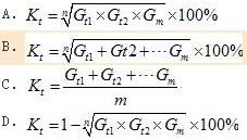
居民消费价格指数的月环比指数计算公式为( ),G为报告期价格与上期价格对比的相
居民消费价格指数的月环比指数计算公式为( ),G为报告期价格与上期价格对比的相
Freeti
2020-05-20
9
问题
居民消费价格指数的月环比指数计算公式为( ),G为报告期价格与上期价格对比的相对数。
选项
答案
A
解析
转载请注明原文地址:https://ti.zuoweng.com/ti/p1bdKKKQ
相关试题推荐
某3年期债券麦考利久期为2.3年,债券目前价格为105.00元,市场利率为9%。
商品价格风险是指可以在初级市场上交易的某种实物产品价格的波动而使银行遭受损失的可
吴女士希望8年后购置一套价值200万元的住房,10年后子女高等教育需要消费60万
关于久期公式dP/dy=-D×P/(1+y),下列各项理解正确的是( )。
假定某公司在未来每期支付的每股股息为8元,必要收益率为10%,而当前股票价格为6
某理财计划采用纯经济的手段,利用价格杠杆,将税负转给消费者或转给供应商或自我消转
下列有关有效市场假说的说法,正确的有( )。 Ⅰ.弱有效市场假定认为股票价格
某企业生产两种产品,这两种产品的销售量及其市场价格的数据如表1所示: 根据
某企业生产两种产品,这两种产品的销售量及其市场价格的数据如表1所示: 根据
某企业生产两种产品,这两种产品的销售量及其市场价格的数据如表1所示: 根据
随机试题
以下不属于货币政策“三大法宝”的是()。
根据《招标投标法》的规定,下列关于投标的说法,不正确的是( )。
根据《药品说明书和标签管理规定》,药品说明书中应当列出所用的全部辅料名称的是
下列省市中,外商投资单位职工人数占职工总人数的比重大小顺序排列正确的是()。
恶心、呕吐伴腹泻1个月,有关节炎及肾绞痛史。尿比重1.015,蛋白(+),红细胞
某一艾滋病女患者,出现严重的肺炎,痰涂片发现有孢子存在,试问最有可能的病原体是
下列()不属于银行的主要促销方式。A.广告B.人员促销C.公共宣传和公共交流D.销售促进
建设工程以赔偿损失方式承担违约责任的构成要件包括()。A.违反执业道德规范 B.造成损失后果C.具有违约行为 D.违约行为与财产等损失之间有因果关系E.
沈先生在理财规划师的介绍下,刚刚购买了生死两全保险,关于此种保险的说法正确的是()。A:生死两全保险一般单独销售B:生死两全保险可以分为递减的定期寿险和递减的
材料题 根据以下内容,回答86-90题。 某私营企业2013年3月15日领取了工商营业执照,之后设置了账簿,进行会计核算。2015年12月份,企业感到...