首页
财务会计
医药卫生
金融经济
考公考编
外语考试
学历提升
职称考试
建筑工程
IT考试
其他
登录
金融经济
在一元回归中,回归平方和是指( )。A、 B、 C、 D、
在一元回归中,回归平方和是指( )。A、 B、 C、 D、
admin
2020-12-24
5
问题
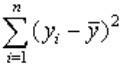
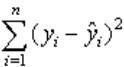
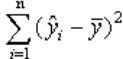
在一元回归中,回归平方和是指( )。
A、
B、
C、
D、
选项
答案
C
解析
A项为总离差平方和,记为SST;B项为残差平方和,记为RSS; C项为回归平方和,记为ESS。三者之间的关系为:SST=RSS+ESS。
转载请注明原文地址:https://ti.zuoweng.com/ti/f0p8KKKQ
相关试题推荐
下列关于决定系数R^2的说法,正确的有()。 Ⅰ.残差平方和越小,RAZ越小 Ⅱ.残差平方和越小,RAZ越大 Ⅲ.R=1时,模型与样本观测值完全...
下列关于回归平方和的说法,正确的有() Ⅰ.总的变差平方和与残差平方和之差 Ⅱ.无法用回归直线解释的离差平方和 Ⅲ.是回归值y与均值离差的平方和...
根据某地区2005-2015年农作物种植面积(X)与农作物产值(Y),可以建立一元线性回归模型,估计结果得到判定系数R^2=0.9,回归平方和ESS=90...
对模型 的最小二乘回归结果显示,R^2为0.92,总离差平方和为500,则残差平方和RSS为()。A、10B、40C、80D、20
在一元回归中,回归平方和是指()。A、 B、 C、 D、
下列关于决定系数R^2的说法,正确的有()。 Ⅰ.残差平方和越小,R^2越小 Ⅱ.残差平方和越小,R^2越大 Ⅲ.R=l时,模型与样本观测值完全拟...
随机试题
人身保险的被保险人()。 A.可以是法人 B.可以是法人和自然人 C.只
甲公司为居民企业,主要从事施工设备的生产和销售业务。2018年有关经营情况如下
描述单个数据在样本或总体中的地位的统计量数是()。
信用证上被指明有权接受并使用信用证,凭以发货、交单、取得货款的出口商是()。
徐长卿的气味特征是
在平板电视大行其道的今天,一种比其薄十几厘米、仿其外形的超薄显像管电视出现在家电
有症状尿路感染的好发人群为 A.老年男女B.儿童C.孕妇D.生育年龄的已
初中生物《社会行为的特征》 一、考题回顾 1.题目:社会行为的特征 2.内容: 白蚁群体之间有明确的分工,群体...
下列关于吊顶的施工工艺要求,说法正确的是()。A.吊顶工程中的预埋件、钢筋吊杆和型钢吊杆应进行防锈处理B.石膏板吊顶面积大于100m2时,纵横方向每18m
A银行接受B公司的申请,欲对其发放贷款,信贷部门要对公司债务资本成本进行评估,经过调查,发现该公司没有上市的债券,由于业务特殊也找不到合适的可比公司,那么...